Formation de NOx dans des flammes d’hydrogène turbulentes
Formation de NOx dans des flammes d’hydrogène turbulentes
Compréhension et modélisation de la formation des NOx dans des flammes d’hydrogène turbulentes
Le projet MONTHY s’est fixé pour objectif de développer et valider des modèles de combustion turbulente pour prédire la formation des oxydes d’azote lors de la combustion de H2 dans des chambres de combustion industrielles. Le projet s’appuie sur une double approche : une base de données de champs de concentration d’espèces est obtenue par diagnostics spectroscopiques dans des flammes laminaires (pour valider la cinétique) et dans des flammes turbulentes. La base de données est obtenue à partir de diagnostics de spectroscopie laser, dédiés à la mesure quantitative in-situ d’un grand nombre d’espèces chimiques impliquées dans la combustion de l’hydrogène.

Le projet MONTHY vise à mieux comprendre et modéliser la formation des oxydes d’azote dans les flammes turbulentes d’hydrogène et à identifier des solutions permettant de les réduire. Cette étape fondamentale permettra un transfert rapide vers les entreprises via le développement d’outils de Calcul Haute Performance (HPC) nécessaires à la conception des chambres de combustion à hydrogène de demain et ce pour des applications variées : propulsion aéronautique, production de chaleur à haute température utile à l’industrie, mobilité terrestre, fluviale ou maritime.
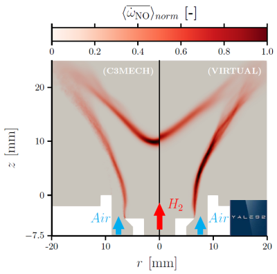
Nous avons développé un formalisme de chimie virtuelle permettant de reproduire les propriétés principales de la flamme avec un temps de calcul réduit d’un facteur 40 dans le cas de la combustion de H2 Ce formalisme a été validé sur des configurations expérimentales de plus en plus complexes. Les calculs sont réalisés au moyen du code de calcul YALES2. Une comparaison du champ de taux de production de NO, calculé avec une chimie détaillée et virtuelle, dans une flamme turbulente d’Hydrogène est présentée sur la figure 1

Des expériences réalisées dans des flammes d’hydrogène montrent que l’ajout de vapeur d’eau dans la flamme diminue les émissions de NOx.
Pascale Desgroux (PC2A)
